作者:卡卡卡卡比
https://zhuanlan.zhihu.com/p/1973172059862487690
欢迎大家关注我在快手大模型组实习期间的最新工作!,我们提出 Agentic Entropy-Balanced Policy Optimization(AEPO),一种面向多轮智能体的熵平衡强化学习优化算法。 目前APO不仅在X上收获了很高的关注度,同时荣登Huggingface Paper日榜第二名!
在智能体强化学习的快速发展中,如何在探索与稳定之间取得平衡已成为多轮智能体训练的关键。主流的熵驱动式智能体强化学习(Agentic RL)虽鼓励模型在高不确定性处分支探索,但过度依赖熵信号常导致训练不稳、甚至策略熵坍塌问题。AEPO 系统性揭示了“高熵Rollout采样坍缩”和“高熵梯度裁剪”问题,并设计了“动态熵平衡Rollout采样”与“熵平衡策略优化”两项核心机制。前者通过熵预监控与连续分支惩罚实现全局与局部探索预算的自适应分配,后者在策略更新阶段引入梯度停止与熵感知优势估计以保留高熵token的探索梯度。

实验结果表明,AEPO 在14个跨领域基准上显著优于七种主流强化学习算法。特别是深度搜索任务的Pass@5指标:GAIA (65.0%), Humanity’s Last Exam(26.0%), WebWalkerQA (70.0%)。在保持训练稳定性的同时进一步提升了采样多样性与推理效率,为通用智能体的可扩展强化训练提供了新的优化范式。

• 首发于机器之心公众号:https://mp.weixin.qq.com/s/mL3CTNonZVoLWnQVfK7KAw
• 论文标题:Agentic Entropy-Balanced Policy Optimization
• 论文链接:https://arxiv.org/abs/2510.14545
• 代码仓库:https://github.com/dongguanting/ARPO
• 开源数据&模型:https://huggingface.co/collections/dongguanting/aepo-68ef6832c99697ee03d5e1c7
目前AEPO在X上收获极高关注度,Github仓库已获星标700余枚,同时荣登Huggingface Paper日榜第二名!


研究动机:在高熵中寻求平衡
随着Agentic RL的发展,如何在持续探索与训练稳定之间取得平衡已成制约智能体性能的关键。现有方法(如ARPO)通常依赖熵信号作为依据,并在高熵时刻触发分支采样探索潜在推理路径。我们的研究发现熵驱动的探索虽能提升多样性,却也带来了显著的训练不稳定:模型在连续高熵的工具调用阶段容易出现单一链条过度分支,导致探索受限(如下图左侧);同时在策略更新阶段,高熵token的梯度常被无差别裁剪,使模型难以学习的探索行为(如下图右侧)。这种熵失衡也使智能体在强化学习中容易陷入局部最优解。

因此,如何在高熵驱动下同时实现高效探索与稳定优化,成为智能体强化学习亟待突破的核心瓶颈。为此,我们提出AEPO,一种面向多轮智能体的熵平衡强化学习优化算法。我们的贡献如下:
• 我们系统性分析并揭示了现有熵驱动的Agentic RL在高熵阶段易出现的**“rollout坍缩”和“梯度裁剪”**问题,为后续算法设计提供了经验与理论依据。
• 我们提出了AEPO算法,旨在通过“动态熵平衡Rollout采样”与“熵感知策略优化”两个阶段实现强化学习探索与稳定的协同优化。
• 在14个挑战性基准上的实验结果表明,AEPO 在采样多样性、训练稳定性及工具调用效率方面均优于7种主流强化学习算法,为智能体在复杂开放环境下的可扩展训练提供了新的启发。
工具调用的熵变现象:高熵集聚与梯度困境
通过分析智能体在多轮工具调用强化学习中的token熵变与训练过程,我们发现以下核心现象:
- 高熵工具调用步骤存在连续性:连续的高熵工具调用轮次占比达 56.5%,部分轨迹甚至出现6次连续高熵调用,这种连续性导致rollout阶段的分支预算分配严重倾斜(如下图左侧);
- 高熵Token梯度裁剪:传统Agentic RL算法在策略更新阶段存在 “无差别梯度裁剪” 问题,未区分其是否包含有价值的探索行为,这些token大多是在推理中激发工具调用,反思等行为的提示(如下图右侧)。

上述现象本质是高熵信号的双重矛盾:高熵是智能体探索工具使用潜力的必要条件,但无约束的高熵连续性会破坏rollout资源分配,激进的梯度裁剪又会扼杀高熵的探索价值。
AEPO算法:熵驱动的精准探索与梯度保护

动态熵平衡Rollout采样:
1. 熵预监测:按信息增益分配采样预算
传统 RL算法(如 ARPO)凭经验分配全局采样与分支采样的坍缩资源,AEPO 则基于信息增益理论,根据问题与工具的信息增益动态调整采样预算,具体来说,在总rollout采样的预算为k(包含m次全局采样与k-m次高熵分支采样)的条件下,将Rollout阶段的信息增益简单地建模为:

在语言模型的自回归解码过程中,输入问题的信息增益通常由模型解码的token熵值来衡量,因此我们可以得到如下正相关关系:

因此,我们的目标是尽可能增大Rollout阶段的信息增益,基于上述公式,AEPO按信息增益分配采样预算:
• 首先让模型预生成1条完整工具调用轨迹,以监控问题初始熵与工具调用平均熵
•若问题初始熵>工具调用平均熵(即问题本身不确定性更高):增加全局采样数量m,多探索不同完整轨迹;
• 若问题初始熵<工具调用平均熵(即工具反馈不确定性更高):减少 “全局采样数量”,将预算向分支采样倾斜,聚焦高熵工具步骤的局部探索。
我们的最终预算分配公式:

这一设计让资源分配有理论支撑。
2. 连续高熵分支惩罚:避免单一轨迹过度分支
即使预算分配合理,连续高熵调用仍可能导致单一轨迹过度分支。因此AEPO通过动态分支概率施加惩罚:
• 实时监测每步工具调用后的熵变化:

• 追踪每条轨迹的 “连续高熵分支次数l”,分支概率公式如下,,其中惩罚概率与l正相关:

• 分支决策规则:若Pt高于(预设阈值),则对当前步骤分支(生成Z条子轨迹);否则继续当前轨迹,并累计连续高熵次数(l+1)。
实验验证:如下图所示,相比于ARPO 通常仅分支2-3条轨迹,而AEPO可覆盖全部8条预算轨迹(右图),采样聚类数从54 提升至62(左2图),大幅提升Rollout采样的多样性。

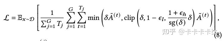
熵平衡策略优化:
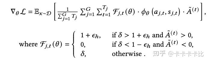
1. 熵裁剪平衡机制:保留高熵 Token 梯度
收到GPPO启发,AEPO将“梯度停止”操作 融入到策略更新的高熵裁剪项中,保证了前向传播不受影响,同时保护了高熵 token 的梯度在反向传播时不被裁剪。AEPO 在策略更新时使用如下公式:

sg() 表示“梯度停止”操作,但是其他不做改变。这样确保确保了AEPO的前向传播不变。在反向传播过程中,AEPO的梯度更新公式为:

这一设计让高熵探索性Token的梯度得以保留,避免训练初期探索能力流失。
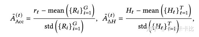
2. 熵感知优势估计:优先学习高价值探索行为
不同于仅考虑准确率优势的传统RL算法,AEPO不仅引入准确率优势,还引入了熵优势来构建融合优势函数,让模型优先学习高熵且对任务有贡献的token :

实验结果:14个基准验证AEPO的高效与稳定
数据集设置
为了充分评估AEPO的泛化性和高效性,我们考虑以下三种测试集:
• 计算型推理任务:评估模型的计算推理能力,包括AIME24,AIME25,MATH500,GSM8K,MATH。
• 知识密集型推理任务:评估模型结合外部知识推理的能力,包括WebWalker,HotpotQA,2WIKI,MisiQue,Bamboogle。
• 深度搜索任务:评估模型的深度搜索能力,包括HLE,GAIA,SimpleQA,XBench, Frames。
深度信息检索任务:小样本实现大突破

如上表所示,仅用1K RL训练样本,Qwen3-14B+AEPO在关键任务上表现优异:
• AEPO在Pass@1上较ARPO平均提升3.9%;在Pass@5上较ARPO平均提升5.8%;
• 对比梯度裁剪优化RL算法(DAPO、CISPO、GPPO):AEPO在GAIA任务上领先7%-10%,在Qwen3-14B基座上取得了47.6%的Pass@1与65%的Pass@5,这证明熵平衡机制优于单纯的梯度裁剪优化RL算法;
• 对比传统RL(GRPO、Reinforce++):AEPO在HLE任务上领先2.6%-3.4%,在Qwen3-14B基座上取得了11.2%的Pass@1与26%的Pass@5,凸显Agentic RL中熵平衡的必要性。
实验:在综合推理场景对比7种强化学习算法

我们比较了7种强化学习算法在10个推理任务中的表现,发现:
l 梯度裁剪优化算法的稳定性差:在Qwen 2.5-7B-instruct上,梯度裁剪优化算法表现良好,但在Llama3-8B上未显著优于GRPO,且易导致熵崩溃。
l Agentic RL算法具备泛化能力:ARPO,GIGPO,AEPO等算法在不同模型上表现稳定,证明在高熵环境下的分支探索有效。
l AEPO优势显著:AEPO在所有测试中表现突出,一致性高于7种主流RL算法。并且平均准确率比GRPO高5%,更适合训练多轮次Web智能体。
实验:熵稳定与准确率分析
在Agentic RL 训练中,熵动态稳定性与训练准确率收敛性是衡量算法有效性的核心指标:熵过高易导致探索失控,熵过低则会引发探索不足;而准确率的持续提升则直接反映模型对有效工具使用行为的学习能力。我们对比 AEPO 与主流 RL 算法(含 ARPO、GRPO、DAPO 等)在 10 个推理任务中的训练动态,清晰揭示了 AEPO 在 “熵稳定” 与 “准确率提升” 双维度的优势。实验发现训练的熵损失骤增与下降都不会对性能带来增益;相比之下,AEPO的熵损失全程维持高且稳定,对应稳定的性能增益。其表现远超其他RL 算法,且解决了 ARPO 在训练后期熵波动的问题。

总结与未来展望
未来可从三个方向进一步拓展:
• 多模态Agent:当前AEPO与ARPO均聚焦文本任务,未来可扩展至图像、视频等多模态输入,探索多模态工具的熵平衡优化,解决多模态反馈带来的熵波动问题。
• 工具生态扩展:引入更复杂工具(如MCP服务、外部订机票酒店服务调用、代码调试器),基于AEPO的熵感知机制优化多工具协作策略,提升复杂任务表现,超越现有工具协作能力。
• 多智能体强化学习:探索在更多智能体的协作学习,互相任务交互与博弈中找到平衡,实现收敛。